Modern Stochastics: Theory and Applications logo


  • Help
Login Register

  1. Home
  2. Issues
  3. Volume 11, Issue 4 (2024)
  4. Fluctuations of an omega-type killed pro ...

Modern Stochastics: Theory and Applications

Submit your article Information Become a Peer-reviewer
  • Article info
  • Full article
  • More
    Article info Full article

Fluctuations of an omega-type killed process in discrete time
Volume 11, Issue 4 (2024), pp. 459–478
Meral Şimşek ORCID icon link to view author Meral Şimşek details   Lewis Ramsden ORCID icon link to view author Lewis Ramsden details   Apostolos D. Papaioannou ORCID icon link to view author Apostolos D. Papaioannou details  

Authors

 
Placeholder
https://doi.org/10.15559/24-VMSTA257
Pub. online: 30 May 2024      Type: Research Article      Open accessOpen Access

Received
30 October 2023
Revised
19 February 2024
Accepted
6 May 2024
Published
30 May 2024

Abstract

The theory of the so-called ${\mathcal{W}_{q}}$ and ${\mathcal{Z}_{q}}$ scale functions is developped for the fluctuations of right-continuous discrete time and space killed random walks. Explicit expressions are derived for the resolvents and two-sided exit problem when killing depends on the present level of the process. Similar results in the reflected case are also considered. All the expressions are given in terms of new generalisations of the scale functions, which are obtained using arguments different from the continuous case (spectrally negative Lévy processes). Hence, the connections between the two cases are spelled out. For a specific form of the killing function, the probability of bankruptcy is obtained for the model known as omega model in the actuarial literature.

1 Introduction

Fluctuation theory for right-continuous random walks has a long history and is very well handled in a number of texts, see, e.g., [4, 7, 11, 16] and the references therein. This also includes the actuarial applications of the skip-free random walk, which in the actuarial literature is known as the compound binomial risk model, see [5, 8, 18], to mention a few. For the continuous counterpart, i.e. in the theory of Lévy processes, it is widely known that first passage theory heavily relies on the so-called ${W^{(q)}}$ and ${Z^{(q)}}$ scale functions, which have been known and excellently treated in [13, 12] and [14], and the references therein. More recently, in [1], the authors have developed the analogous theory for the ${W_{v}}$ and ${Z_{v}}$ scale functions for the discrete counterpart, i.e. in the case of one-sided random walks. Although in the first instance, the theory for the discrete and continuous time/space seems to be analogous (due to the use of the common tool, namely the scale functions), there are significant differences in the methodology. Further generalisations of the scale functions have been proposed for first passage problems in continuous time/space for the so-called ω-killed spectrally negative Lévy process, where the process is exponentially killed with killing intensity $\omega (\cdot )$ that depends on the level of the process, see [6] and [15]. We point out that such processes have numerous actuarial applications, for example, where the killing feature can be interpreted as a bankruptcy rate when the process is negative, which allows insurance firms to operate for some time below critical levels.
The aim of this paper is two-fold: firstly, to generalise the scale functions of [1] for first passage problems and resolvent measures in a skip-free ω-type killed random walk, and secondly, to derive exit and resolvent identities in a discrete ω-type killed process using a method alternative to that in the continuous case in [6, 15]. That is, in the discrete setup, one is able to characterise the new generalised scale functions solely using first-step (one-step) analysis and recursive equations which can then be employed to solve the exit problems, their reflections and the potential measures for the aforementioned killed process.
To formulate our problem mathematically, let us assume that $q:\mathbb{Z}\to (0,1]$ is a nonnegative function that represents the killing mechanism and $X={\{{X_{n}}\}_{n\in {\mathbb{N}_{0}}}}$ be an upwards skip-free random walk defined on the naturally filtered probability space $(\Omega ,\mathbf{F},{({\mathcal{F}_{n}})_{n\in {\mathbb{N}_{0}}}},\mathbb{P})$. We denote the first passage times as
\[ {\tau _{b}^{-}}=\inf \{n\ge 0:{X_{n}}\le b\}\hspace{1em}\text{and}\hspace{1em}{\tau _{a}^{+}}=\inf \{n\ge 0:{X_{n}}\ge a\}.\]
Moreover, let the law of X, such that ${X_{0}}=x$, be denoted by ${\mathbb{P}_{x}}$ with corresponding expectation ${\mathbb{E}_{x}}$. We will write $\mathbb{P}$ and $\mathbb{E}$ when $x=0$. Our main interest in this paper is to derive closed form expressions for the first passage times and resolvent measures, weighted by the killing function q. In particular, for $x=0,\dots ,a$, $a\in \mathbb{Z}$, we will determine the two-sided exit quantities
\[ \mathcal{A}(x,a):={\mathbb{E}_{x}}\left[{\prod \limits_{n=1}^{{\tau _{a}^{+}}}}q({X_{n}}){\mathbf{1}_{({\tau _{a}^{+}}\lt {\tau _{-1}^{-}})}}\right]\hspace{2.5pt}\text{and}\hspace{2.5pt}\mathcal{B}(x,a):={\mathbb{E}_{x}}\left[{\prod \limits_{n=1}^{{\tau _{-1}^{-}}}}q({X_{n}}){\mathbf{1}_{({\tau _{-1}^{-}}\lt {\tau _{a}^{+}})}}\right],\]
with the convention that ${\textstyle\prod _{n=1}^{0}}q({X_{n}})=1$ and define this setting as a random walk with “q-killing.” It is worth pointing out that the discrete setup has significant advantages over the more popular continuous-time models, which are the tractability in practice (due to simplicity), whilst from a theoretical point of view one can replace the Wiener–Hopf factorisation by the conceptually simpler factorisation of Laurent series (see, e.g., [1, 2]).
The paper is organised as follows. Section 2 recalls some basic definitions and properties of the upwards skip-free right continuous random walks. In Section 3, we derive the q-killed scale functions ${\mathcal{W}_{q}}$ and ${\mathcal{Z}_{q}}$, in terms of which we obtain expressions for $\mathcal{A}(x,a)$ and $\mathcal{B}(x,a)$, as well as for their reflections. In the same section, a new approach based on the use of recursive equations is applied to derive the respective q-killed resolvents, avoiding the use of Wiener–Hopf arguments. We also provide, as limiting cases, expressions for the corresponding one-sided exit problems. Finally, within this section we derive identities for the exit problems and the resolvent in the case where the process is reflected at upper and lower barriers. Finally, in Section 4 we apply the results to determine the so-called probability of bankruptcy in the discrete omega model of the actuarial literature.

2 Preliminaries

Let $X={\{{X_{n}}\}_{n\in {\mathbb{N}_{0}}}}$ be an upwards skip-free random walk defined by
(1)
\[ {X_{n}}=x+n-{\sum \limits_{i=1}^{n}}{C_{i}},\]
where $x\in \mathbb{Z}$ and ${\{{C_{i}}\}_{i\in \mathbb{N}}}$ are independent, identically distributed random variables taking values in ${\mathbb{N}_{0}}$ ($\mathbb{N}\cup \{0\}$), with probability mass function ${p_{k}}=\mathbb{P}({C_{1}}=k)$ for $k\in {\mathbb{N}_{0}}$ and probability generating function
\[ \widetilde{p}(z):=\mathbb{E}\left({z^{{C_{1}}}}\right)={\sum \limits_{k=0}^{\infty }}{z^{k}}{p_{k}},\hspace{1em}z\in (0,1],\]
for which it is assumed that ${p_{0}}\gt 0$. Throughout this paper, the law of X such that ${X_{0}}=x$, is denoted by ${\mathbb{P}_{x}}$ and the corresponding expectation by ${\mathbb{E}_{x}}$. We will write $\mathbb{P}$ and $\mathbb{E}$ when $x=0$. We note that within the actuarial literature, x can be interpreted as the initial capital of an insurance firm that gains capital (premium) 1 per unit time, whilst ${C_{i}}$ are the corresponding claims. As pointed out in [1], for $n\in \mathbb{N}$, $\mathbb{E}[{z^{{\textstyle\sum _{i=1}^{n}}{C_{i}}}}]={[\tilde{p}(z)]^{n}}={({p_{0}}+(1-{p_{0}}){\tilde{p}_{C|C\ge 1}}(z))^{n}}$ from which one can easily conclude that ${\textstyle\sum _{i=1}^{n}}{C_{i}}$ has compound binomial distribution, which justifies the name of the model (compound binomial model) in the actuarial literature (see [5, 8, 18]).
For $v\in (0,1]$, it follows from [1] that the fluctuation identities for X rely heavily on the scale function ${W_{v}}$. In more details, ${W_{v}}$ provides a solution for the two-sided upwards and downwards exit problems for $0\le x\le a$, given by
(2)
\[ {\mathbb{E}_{x}}\Big({v^{{\tau _{a}^{+}}}}{\mathbf{1}_{({\tau _{a}^{+}}\lt {\tau _{-1}^{-}})}}\Big)=\frac{{W_{v}}\left(x\right)}{{W_{v}}\left(a\right)},\]
and
(3)
\[ {\mathbb{E}_{x}}\Big({v^{{\tau _{-1}^{-}}}}{\mathbf{1}_{({\tau _{-1}^{-}}\lt {\tau _{a}^{+}})}}\Big)={Z_{v}}\left(x\right)-\frac{{W_{v}}\left(x\right)}{{W_{v}}\left(a\right)}{Z_{v}}\left(a\right),\]
where ${\mathbf{1}_{(\cdot )}}$ denotes the indicator function and the scale function ${W_{v}}$ satisfies
\[ {\sum \limits_{x=0}^{\infty }}{z^{x}}{W_{v}}(x)=\frac{1}{\widetilde{p}(z)-z/v},\hspace{1em}z\in (0,{\varphi _{v}}),\]
with ${\varphi _{v}}$ denoting the largest root of the equation $z/\tilde{p}(z)=v$ (see also Eq. (3.3) in [5] or Eq. (6.8) in [9]). Moreover, within the discrete time/space set up it has been shown in [1] that the scale function ${W_{v}}$ satisfies the harmonic recursion (see also Eq. (3.1) in [16]),
(4)
\[ {W_{v}}\left(x\right)=v{\sum \limits_{y=-1}^{x}}{W_{v}}\left(x-y\right){p_{y+1}},\hspace{1em}x\in {\mathbb{N}_{0}}.\]
On the other hand, the scale function ${Z_{v}}$ can be defined in terms of the scale function ${W_{v}}$ by
(5)
\[ {Z_{v}}\left(x\right)=1+\left(\frac{1}{v}-1\right){\sum \limits_{y=0}^{x-1}}{W_{v}}\left(y\right),\hspace{1em}x\in {\mathbb{N}_{0}}.\]
Finally, it is known (see Remark 15 in [1] or Proposition 3.2 in [16]) that the scale function ${W_{v}}$ can be used to calculate the resolvent of the process X killed on exiting ${I_{a}}:=\{0,\dots ,a-1\}$, $a\in \mathbb{N}$, which is given by
(6)
\[\begin{aligned}{}{U_{v}}(x,y)& ={\sum \limits_{n=0}^{\infty }}{v^{n}}{\mathbb{P}_{x}}[{X_{n}}=y,\hspace{0.2778em}n\lt {\tau _{-1}^{-}}\wedge {\tau _{a}^{+}}]\\ {} & ={v^{-1}}\left(\frac{{W_{v}}(a-1-y){W_{v}}(x)}{{W_{v}}(a)}-{W_{v}}(x-y-1)\right),\end{aligned}\]
where $\{x,y\}\subset {I_{a}}$, $v\in (0,1]$.
Remark 1.
As pointed out in [1], in the discrete time/space setup the method for deriving Eqs. (2)–(3) is significantly different from the continuous time and space setup (where one has to make sure that the process drifts to ∞ and use change of measure – see proof of Theorem 8.1 in [13]). However, the expressions in the two-sided exit problems, as well as the resolvent measure are analogous with the spectrally negative case.
Note that the role of the variable $v\in (0,1]$ in the above transforms can also be thought of as a survival probability at each time period for the so-called killed (stopped) random walk. That is, at each time point, the random walk X may be ‘killed’ with some probability $1-v\in [0,1)$ and understood to be absorbed into some ‘cemetery’ type state.
In this paper, we shall consider the case where the ‘killing’ (survival) probability at each time point is no longer constant but depends on the level of the process; in the continuous-time literature, this is known as omega-killing (see [15]).

3 Main results

In this section, we derive explicit expressions for one- and two-sided exit problems of q-killed upwards skip-free random walk, as well as their reflections. In particular, as is the case throughout the literature (see, e.g., [1, 13, 15]), we will show that all these quantities of interest can be expressed in terms of two families of scale functions, namely ${\mathcal{W}_{q}}$ and ${\mathcal{Z}_{q}}$, which we call q-scale functions. They satisfy the recursive equations for $x\in {\mathbb{N}_{0}}$
(7)
\[\begin{aligned}{}{\mathcal{W}_{q}}\left(x\right)& ={\sum \limits_{k=-1}^{x}}{p_{k+1}}q(x-k){\mathcal{W}_{q}}\left(x-k\right),\end{aligned}\]
(8)
\[\begin{aligned}{}{\mathcal{Z}_{q}}\left(x\right)& ={\sum \limits_{k=-1}^{x}}{p_{k+1}}q(x-k){\mathcal{Z}_{q}}\left(x-k\right)+{\sum \limits_{k=x+1}^{\infty }}{p_{k+1}}q(x-k),\end{aligned}\]
respectively, and ${\mathcal{W}_{q}}(x)=0$ and ${\mathcal{Z}_{q}}(x)=1$ for $x\lt 0$. The fact that the scale functions in the discrete setting satisfy recursive type expressions is not surprising. This is a consequence of the so-called ‘one-step analysis’ and the properties of the random walk. In fact, recursive expressions similar to those above have already been identified in the literature, in the case of a constant killing function (see, for example, [1] and [16]). In these papers, the recursions are only briefly discussed or used to determine the form of the corresponding z-transforms as a means of determining the scale functions themselves. In the more general setting of this paper, however, recursive expressions turn out to be the only way to characterise the scale functions, since it is not possible to obtain their z-transforms, and thus, recursive expressions are employed to prove all of the following results. To the best of our knowledge, the use of one-step analysis and recursive equations for deriving results for potential measures is new in the literature.

3.1 The ${\mathcal{W}_{q}}$ scale function

In this subsection we begin by deriving a closed form expression for the two-sided upwards exit problem, as well as additional results which further characterise the ${\mathcal{W}_{q}}$ scale function.
Theorem 1 (Two-sided exit upwards).
For $x\in \mathbb{Z}$, there exists a discrete function ${\mathcal{W}_{q}}:\mathbb{Z}\to {\mathbb{R}^{+}}$ such that for all $x\le a\in {\mathbb{N}_{0}}$ we have that
(9)
\[ \mathcal{A}(x,a):={\mathbb{E}_{x}}\left[{\prod \limits_{n=1}^{{\tau _{a}^{+}}}}q({X_{n}}){\mathbf{1}_{({\tau _{a}^{+}}\lt {\tau _{-1}^{-}})}}\right]=\frac{{\mathcal{W}_{q}}\left(x\right)}{{\mathcal{W}_{q}}\left(a\right)},\]
where ${\mathcal{W}_{q}}$ satisfies the recursion equation (7).
Proof.
Following the same line of logic as in [1], let us define ${\mathcal{W}_{q}}\left(x\right):={\Big({p_{0}}\mathbb{E}\Big[{\textstyle\prod _{n=1}^{{\tau _{x}^{+}}}}q({X_{n}}){\mathbf{1}_{({\tau _{x}^{+}}\lt {\tau _{-1}^{-}})}}\Big]\Big)^{-1}}$ for $x\in {\mathbb{N}_{0}}$ and set ${\mathcal{W}_{q}}\left(x\right)=0$ for $x\lt 0$. Then, for $x\in {\mathbb{N}_{0}}$, applying the strong Markov property of X at ${\tau _{x}^{+}}$ and using the fact that X is upwards skip-free, for $0\le x\le a$, we have
\[\begin{aligned}{}\mathbb{E}\left[{\prod \limits_{n=1}^{{\tau _{a}^{+}}}}q({X_{n}}){\mathbf{1}_{({\tau _{a}^{+}}\lt {\tau _{-1}^{-}})}}\right]& =\mathbb{E}\left[{\prod \limits_{n=1}^{{\tau _{x}^{+}}}}q({X_{n}}){\mathbf{1}_{({\tau _{x}^{+}}\lt {\tau _{-1}^{-}})}}\right]{\mathbb{E}_{x}}\left[{\prod \limits_{n=1}^{{\tau _{a}^{+}}}}q({X_{n}}){\mathbf{1}_{({\tau _{a}^{+}}\lt {\tau _{-1}^{-}})}}\right],\end{aligned}\]
or equivalently, after some rearranging
(10)
\[ \mathcal{A}(x,a)=\frac{\mathcal{A}(0,a)}{\mathcal{A}(0,x)}=\frac{{\mathcal{W}_{q}}\left(x\right)}{{\mathcal{W}_{q}}\left(a\right)},\]
where the last equality follows from the definition of ${\mathcal{W}_{q}}$ given above. Further, by conditioning on the first period of time, we note that for $0\le x\lt a$, $\mathcal{A}(x,a)$ satisfies
\[\begin{aligned}{}\mathcal{A}(x,a)& ={\sum \limits_{k=0}^{x+1}}{p_{k}}q(x+1-k)\mathcal{A}(x+1-k,a)={\sum \limits_{k=-1}^{x}}{p_{k+1}}q(x-k)\mathcal{A}(x-k,a),\end{aligned}\]
from which, after substitution of Eq. (10), we obtain the recursive equation (7), i.e.
\[\begin{aligned}{}{\mathcal{W}_{q}}\left(x\right)& ={\sum \limits_{k=-1}^{x}}{p_{k+1}}q(x-k){\mathcal{W}_{q}}\left(x-k\right).\end{aligned}\]
 □
Remark 2.
  • (i) The result in Eq. (9) holds for any ${\mathcal{W}_{q}}$ that satisfies Eq. (7) with arbitrary ${\mathcal{W}_{q}}(0)$ and thus, is unique only up to a multiplicative constant. However, it is discussed in [1] how the choice of normalisation, such that the initial value ${\mathcal{W}_{q}}\left(0\right)={\Big({p_{0}}\mathbb{P}(0\lt {\tau _{-1}^{-}})\Big)^{-1}}=1/{p_{0}}$, results in a simpler expression for the z-transform of ${\mathcal{W}_{q}}$. Although the z-transform is not obtainable in closed form in this paper, due to the generality of the ‘q-killing’ function, we also adopt this normalisation for consistency and comparison of results.
  • (ii) Letting $q(x)=v$, for all $x\in \mathbb{Z}$, in Eq. (9) of Theorem 1 we recover the results of [1], given by Eqs. (2) and (4), respectively.
  • (iii) Under the discrete-time/space setup, the numerical calculation of ${\mathcal{W}_{q}}$ can be obtained recursively by Eq. (7) (with initial value ${\mathcal{W}_{q}}\left(0\right)=1/{p_{0}}$), which differs significantly from the numerical calculation of the corresponding ω-killed scale function in the continuous Lévy setup, where solutions to renewal equations are required (see Eq. (1.2) in [15]).
Mostly due to the practical applications within risk theory and insurance, it is common to consider the lower exit barrier at the level 0 (as in Theorem 1). However, the result can be generalised to consider exit from a general strip $[z,y]$ with $z\le y$, which is given in the following corollary.
Corollary 1.
For $z\le x\le y$, it follows that
(11)
\[ {\mathbb{E}_{x}}\left[{\prod \limits_{n=1}^{{\tau _{y}^{+}}}}q\left({X_{n}}\right){\mathbf{1}_{\left({\tau _{y}^{+}}\lt {\tau _{z-1}^{-}}\right)}}\right]=\frac{{\mathcal{W}_{q}}(x,z)}{{\mathcal{W}_{q}}(y,z)},\]
where the scale function ${\mathcal{W}_{q}}(\cdot ,z)$ satisfies the recursive equation
(12)
\[ {\mathcal{W}_{q}}(u,z)={\sum \limits_{k=-1}^{u-z}}{p_{k+1}}q(u-k){\mathcal{W}_{q}}(u-k,z),\hspace{1em}u\ge z,\]
with ${\mathcal{W}_{q}}(u,z)=0$ for $u\lt z$.
Remark 3.
As in Theorem 1, we note that the above result holds for any ${\mathcal{W}_{q}}$ satisfying Eq. (12). However, in a way similar to that discussed in Remark 2, for the remainder of this paper we will consider the specific normalisation ${\mathcal{W}_{q}}(z,z)=1/{p_{0}}$. Finally, we note that ${\mathcal{W}_{q}}(u,0)={\mathcal{W}_{q}}(u)$.
Remark 4.
In fact, the recursion in Eq. (12) can be extended to include the case $u=z-1$, such that for all $u\ge z-1$
(13)
\[ {\mathcal{W}_{q}}\left(u,z\right)={\sum \limits_{k=-1}^{u-z}}{p_{k+1}}q(u-k){\mathcal{W}_{q}}\left(u-k,z\right)-q(z){\mathbf{1}_{(u-z=-1)}},\]
which proves to be useful for the derivation of the potential measure in the next sections.
At first sight, the introduction of the ${\mathcal{W}_{q}}$ scale function may seem somewhat arbitrary in the above results and appear only as a redefined version of the one-sided exit quantities. However, it turns out, due to the fact that the two-sided upwards exit plays a fundamental role in other exit problems, that many other exit identities can be expressed solely in terms of ${\mathcal{W}_{q}}$ and another appropriately defined scale function ${\mathcal{Z}_{q}}$, see Section 3.2 below. For a comprehensive discussion of this in the Lévy setting, see [13]. To help derive some of these additional exit quantities, we prove the following martingale result for ${\mathcal{W}_{q}}$.
Proposition 1.
For every $q:\mathbb{Z}\to (0,1]$ and $x,z\in \mathbb{Z}$,
\[ {\big\{{\prod \limits_{i=1}^{n\wedge {\tau _{z-1}^{-}}}}q({X_{i}}){\mathcal{W}_{q}}\big({X_{n\wedge {\tau _{z-1}^{-}}}},z\big)\big\}_{n\in {\mathbb{N}_{0}}}}\]
is a martingale under ${\mathbb{P}_{x}}$, with respect to ${({\mathcal{F}_{n}})_{n\in {\mathbb{N}_{0}}}}$.
Proof.
Let us first note that by conditioning on the size of the first jump and using Eq. (12), it follows that for $x\ge z$, we have
(14)
\[ {\mathbb{E}_{x}}\Big[q({X_{1}}){\mathcal{W}_{q}}\big({X_{1}},z\big)\Big]={\sum \limits_{k=-1}^{x-z}}{p_{k+1}}q(x-k){\mathcal{W}_{q}}\left(x-k,z\right)={\mathcal{W}_{q}}(x,z).\]
On the other hand, by conditioning with respect to the natural filtration ${\mathcal{F}_{n}}$, and noticing that ${\mathcal{W}_{q}}({X_{{\tau _{z-1}^{-}}}},z)=0$, we find that
\[\begin{aligned}{}{\mathbb{E}_{x}}& \left[{\prod \limits_{i=1}^{(n+1)\wedge {\tau _{z-1}^{-}}}}q({X_{i}}){\mathcal{W}_{q}}({X_{(n+1)\wedge {\tau _{z-1}^{-}}}},z){\mathbf{1}_{\{{\tau _{z-1}^{-}}\gt n\}}}\Big|{\mathcal{F}_{n}}\right]\\ {} & ={\prod \limits_{i=1}^{n}}q\left({X_{i}}\right){\mathbf{1}_{\{{\tau _{z-1}^{-}}\gt n\}}}{\mathbb{E}_{x}}\left[q\big({X_{(n+1)\wedge {\tau _{z-1}^{-}}}}\big){\mathcal{W}_{q}}\big({X_{(n+1)\wedge {\tau _{z-1}^{-}}}},z\big)\big|{\mathcal{F}_{n}}\right]\\ {} & ={\prod \limits_{i=1}^{n}}q({X_{i}}){\mathbf{1}_{\{{\tau _{z-1}^{-}}\gt n\}}}{\mathbb{E}_{{X_{n}}}}\left[q({X_{1}}){\mathcal{W}_{q}}({X_{1}},z)\big|{\mathcal{F}_{n}}\right]\\ {} & ={\prod \limits_{i=1}^{n}}q({X_{i}}){\mathbf{1}_{\{{\tau _{z-1}^{-}}\gt n\}}}{\mathcal{W}_{q}}({X_{n}},z)\\ {} & ={\prod \limits_{i=1}^{n\wedge {\tau _{z-1}^{-}}}}q\left({X_{i}}\right){\mathcal{W}_{q}}({X_{n\wedge {\tau _{z-1}^{-}}}},z).\end{aligned}\]
This completes the proof.  □
Using the above result, we can now derive identities for further exit problems, as they are given in the corollary below.
Corollary 2.
For any integer $x\le a$ and $z\le b\le a$, we have
\[ {\mathbb{E}_{x}}\left[{\prod \limits_{i=1}^{{\tau _{b-1}^{-}}}}q({X_{i}}){\mathcal{W}_{q}}({X_{{\tau _{b-1}^{-}}}},z){\mathbf{1}_{({\tau _{b-1}^{-}}\lt {\tau _{a}^{+}})}}\right]={\mathcal{W}_{q}}\left(x,z\right)-\frac{{\mathcal{W}_{q}}\left(x,b\right)}{{\mathcal{W}_{q}}\left(a,b\right)}{\mathcal{W}_{q}}\left(a,z\right).\]
Proof.
For any $x\in \mathbb{Z}$, by the optional sampling theorem, we obtain
\[\begin{aligned}{}{\mathcal{W}_{q}}\left(x,z\right)& ={\mathbb{E}_{x}}\left[{\prod \limits_{i=1}^{{\tau _{b-1}^{-}}\wedge {\tau _{a}^{+}}}}q({X_{i}}){\mathcal{W}_{q}}({X_{{\tau _{b-1}^{-}}\wedge {\tau _{a}^{+}}}},z)\right]\\ {} & ={\mathbb{E}_{x}}\left[{\prod \limits_{i=1}^{{\tau _{b-1}^{-}}}}q({X_{i}}){\mathcal{W}_{q}}({X_{{\tau _{b-1}^{-}}}},z){\mathbf{1}_{({\tau _{b-1}^{-}}\lt {\tau _{a}^{+}})}}\right]\\ {} & \hspace{2em}\hspace{2em}+{\mathbb{E}_{x}}\left[{\prod \limits_{i=1}^{{\tau _{a}^{+}}}}q({X_{i}}){\mathcal{W}_{q}}({X_{{\tau _{a}^{+}}}},z){\mathbf{1}_{({\tau _{b-1}^{-}}\ge {\tau _{a}^{+}})}}\right].\end{aligned}\]
Now, recalling that X possesses the upwards skip-free property and using Eq. (11), yields
\[\begin{aligned}{}{\mathcal{W}_{q}}\left(x,z\right)& ={\mathbb{E}_{x}}\left[{\prod \limits_{i=1}^{{\tau _{b-1}^{-}}}}q({X_{i}}){\mathcal{W}_{q}}({X_{{\tau _{b-1}^{-}}}},z){\mathbf{1}_{({\tau _{b-1}^{-}}\lt {\tau _{a}^{+}})}}\right]\\ {} & \hspace{1em}+{\mathcal{W}_{q}}(a,z){\mathbb{E}_{x}}\left[{\prod \limits_{i=1}^{{\tau _{a}^{+}}}}q({X_{i}}){\mathbf{1}_{({\tau _{b-1}^{-}}\ge {\tau _{a}^{+}})}}\right]\\ {} & ={\mathbb{E}_{x}}\left[{\prod \limits_{i=1}^{{\tau _{b-1}^{-}}}}q({X_{i}}){\mathcal{W}_{q}}({X_{{\tau _{b-1}^{-}}}},z){\mathbf{1}_{({\tau _{b-1}^{-}}\lt {\tau _{a}^{+}})}}\right]+{\mathcal{W}_{q}}(a,z)\frac{{\mathcal{W}_{q}}\left(x,b\right)}{{\mathcal{W}_{q}}\left(a,b\right)},\end{aligned}\]
which, after some rearranging, gives the result.  □

3.2 The ${\mathcal{Z}_{q}}$ scale function

In this subsection, we introduce the second of the fundamental scale functions, namely, the ${\mathcal{Z}_{q}}$ scale function, and prove this also satisfies a recursive type equation given by Eq. (8). The ${\mathcal{Z}_{q}}$ scale function is initially employed, along with the ${\mathcal{W}_{q}}$ scale function defined in the previous section, to solve the two-sided downward exit, i.e. $\mathcal{B}(x,a)$, but are also shown to be sufficient for solving a variety of other exit type quantities.
Theorem 2 (Two-sided exit downwards).
For $x\in \mathbb{Z}$ such that $x\le a$, we have
(15)
\[ \mathcal{B}(x,a):={\mathbb{E}_{x}}\left[{\prod \limits_{n=1}^{{\tau _{-1}^{-}}}}q({X_{n}}){\mathbf{1}_{({\tau _{-1}^{-}}\lt {\tau _{a}^{+}})}}\right]={\mathcal{Z}_{q}}\left(x\right)-\frac{{\mathcal{W}_{q}}\left(x\right)}{{\mathcal{W}_{q}}\left(a\right)}{\mathcal{Z}_{q}}\left(a\right),\]
where ${\mathcal{W}_{q}}\left(x\right)$ and ${\mathcal{Z}_{q}}\left(x\right)$ satisfy Eqs. (7) and (8), respectively.
Proof.
For $0\le x\le a$, we can apply similar arguments as in [1], i.e. using the upwards skip-free and strong Markov properties, to find
\[\begin{aligned}{}\mathcal{B}(x,a)& ={\mathbb{E}_{x}}\left[{\prod \limits_{n=1}^{{\tau _{-1}^{-}}}}q({X_{n}}){\mathbf{1}_{({\tau _{-1}^{-}}\lt \infty )}}\right]\\ {} & \hspace{1em}-{\mathbb{E}_{x}}\left[{\prod \limits_{n=1}^{{\tau _{a}^{+}}}}q({X_{n}}){\mathbf{1}_{({\tau _{a}^{+}}\lt {\tau _{-1}^{-}})}}\right]\times {\mathbb{E}_{a}}\left[{\prod \limits_{n=1}^{{\tau _{-1}^{-}}}}q({X_{n}}){\mathbf{1}_{({\tau _{-1}^{-}}\lt \infty )}}\right].\end{aligned}\]
Let us now define
\[ B(x):={\mathbb{E}_{x}}\left[{\prod \limits_{n=1}^{{\tau _{-1}^{-}}}}q({X_{n}}){\mathbf{1}_{({\tau _{-1}^{-}}\lt \infty )}}\right],\]
with $B(x)=1$ for $x\lt 0$. Then, the above equation becomes
(16)
\[ \mathcal{B}(x,a)=B(x)-\mathcal{A}(x,a)B(a),\]
and we note that since $\mathcal{B}(x,a)$ is monotonically increasing in a and bounded by $0\le \mathcal{B}(x,a)\le {\mathbb{P}_{x}}\big({\tau _{-1}^{-}}\lt {\tau _{a}^{+}}\big)\le 1$, it follows that ${\lim \nolimits_{a\to \infty }}\mathcal{B}(x,a)=B(x)$ exists and is finite. To compute $B(\cdot )$, we can apply a similar one-step analysis as in the previous section, i.e.conditioning on the first jump, such that for $x\in {\mathbb{N}_{0}}$ we have
(17)
\[\begin{aligned}{}B(x)& ={\sum \limits_{k=0}^{\infty }}{p_{k}}q(x+1-k)B(x+1-k)\\ {} & ={\sum \limits_{k=-1}^{x}}{p_{k+1}}q(x-k)B(x-k)+{\sum \limits_{k=x+1}^{\infty }}{p_{k+1}}q(x-k),\end{aligned}\]
since $B(x)=1$ for $x\lt 0$.
Now, let us further define, for some arbitrary constant ${a_{B}}\in [0,\infty )$, the ${\mathcal{Z}_{q}}$ function
(18)
\[ {\mathcal{Z}_{q}}\left(x\right):=B(x)+{a_{B}}{\mathcal{W}_{q}}\left(x\right).\]
Then, by Eq. (16) it is clear that we also have
\[ \mathcal{B}(x,a)={\mathcal{Z}_{q}}\left(x\right)-\frac{{\mathcal{W}_{q}}\left(x\right)}{{\mathcal{W}_{q}}\left(a\right)}{\mathcal{Z}_{q}}\left(a\right),\]
and moreover, by solving Eq. (18) with respect to $B(x)$, substituting the resulting equation into Eq. (17) and using Eq. (7), we see that ${\mathcal{Z}_{q}}$ also satisfies a recursive expression given by Eq. (8). Finally, it is easy to see that the result holds for the case $x\lt 0$ after noting that ${\mathcal{Z}_{q}}(x)=1$ for $x\lt 0$, which follows from the definitions of $B(x)$ and ${\mathcal{W}_{q}}$.  □
Remark 5.
In a way similar to Theorem 1, we point out that due to the form of the expressions defined in the above result, the initial condition ${\mathcal{Z}_{q}}(0)$ does not need to be specified in order to compute $\mathcal{B}(x,a)$. However, for the sake of results presented later in this paper and for reasons given in [1] and references therein (see also Remark 6 below), we will choose ${a_{B}}:={p_{0}}(1-B(0))$ in the above, so that ${\mathcal{Z}_{q}}\left(0\right)=1$.
Remark 6.
It is worth pointing out here that in the above theorem the function $B(\cdot )$ along with its recursive relationship given in Eq. (17) is sufficient to compute $\mathcal{B}(x,a)$ since Eq. (16) holds for any $B(\cdot )$ that satisfies the recursion equation (17). However, it is usually preferable to work with ${\mathcal{Z}_{q}}$ as it leads to more concise expressions – this is especially the case when dealing with transforms of these functions – and, as discussed in Remark 5, allows us to identify the value of ${\mathcal{Z}_{q}}(0)$.
In a way similar to Corollary 1, it is not difficult to see that the above result can be generalised to obtain the downwards exit identity from a general interval $[z,y]$ as shown in the following corollary.
Corollary 3.
For $z\le x\le y$, it follows that
(19)
\[ {\mathbb{E}_{x}}\left[{\prod \limits_{n=1}^{{\tau _{z-1}^{-}}}}q({X_{n}}){\mathbf{1}_{({\tau _{z-1}^{-}}\lt {\tau _{y}^{+}})}}\right]={\mathcal{Z}_{q}}\left(x,z\right)-\frac{{\mathcal{W}_{q}}\left(x,z\right)}{{\mathcal{W}_{q}}\left(y,z\right)}{\mathcal{Z}_{q}}\left(y,z\right),\]
where
(20)
\[ {\mathcal{Z}_{q}}\left(u,z\right)={\sum \limits_{k=-1}^{u-z}}{p_{k+1}}q(u-k){\mathcal{Z}_{q}}\left(u-k,z\right)+{\sum \limits_{k=u-z+1}^{\infty }}{p_{k+1}}q(u-k),\hspace{1em}u\ge z,\]
with ${\mathcal{Z}_{q}}(x,0)={\mathcal{Z}_{q}}(x)$.
Remark 7.
For the same arguments as in Remark 5, in this paper we choose to define ${\mathcal{Z}_{q}}(\cdot ,\cdot )$ so that ${\mathcal{Z}_{q}}\left(x,z\right)=1$ for $x\le z$.
Although the two-sided upwards or downwards exit problems are of interest in their own right and do have applications in many areas, e.g., dividend problems in risk theory (see [9]), the corresponding one-sided exit problems have received a great deal of interest in the literature and have many applications in ruin theory (see [5, 9] and [18] among others). One such quantity, which is used in the final section to derive the so-called bankruptcy probability, can be obtained by taking the limit as $a\to \infty $ in Theorem 1 from which we obtain the following corollary.
Corollary 4.
For all $x\ge 0$,
(21)
\[ {\mathbb{E}_{x}}\left[{\prod \limits_{n=1}^{\infty }}q({X_{n}}){\mathbf{1}_{({\tau _{-1}^{-}}=\infty )}}\right]={a_{{\mathcal{W}^{-1}}(\infty )}}{\mathcal{W}_{q}}\left(x\right),\]
where ${a_{{\mathcal{W}^{-1}}(\infty )}}={\lim \nolimits_{a\to \infty }}{{\mathcal{W}_{q}}\left(a\right)^{-1}}$.
Proof.
To prove the result, it is sufficient to show the existence and finiteness of the limits. First note that ${\mathcal{W}_{q}}\left(a\right)$ (hence also ${\mathcal{W}_{q}}{\left(a\right)^{-1}}$) is monotone in a. Moreover, ${\mathcal{W}_{q}}{(a)^{-1}}$ is bounded, since, by definition,
\[ {\mathcal{W}_{q}}{\left(a\right)^{-1}}={p_{0}}\mathbb{E}\left[{\prod \limits_{n=1}^{{\tau _{a}^{+}}}}q({X_{n}}){\mathbf{1}_{({\tau _{a}^{+}}\lt {\tau _{-1}^{-}})}}\right]\le {p_{0}}\mathbb{P}({\tau _{a}^{+}}\lt {\tau _{-1}^{-}}).\]
 □
It is worth pointing out that each of the results presented so far are more general than they may first appear and contain, by a suitable choice of the ‘q-killing’ function, other well-known transforms from the literature. One such example is the generalised version for the transform of the undershoot (deficit) below the lower level and is given in the following proposition.
Proposition 2.
For $\xi \in (0,1]$, let
\[ q(x)=\left\{\begin{array}{l}\widetilde{q}(x),\hspace{1em}x\ge 0,\hspace{1em}\\ {} {\xi ^{-x}},x\lt 0,\hspace{1em}\end{array}\right.\]
where $\widetilde{q}:\mathbb{N}\to (0,1]$. Then, it follows that for $x\le a$,
\[\begin{aligned}{}\mathcal{B}(x,a):={\mathbb{E}_{x}}\left[{\prod \limits_{i=1}^{{\tau _{-1}^{-}}-1}}\widetilde{q}({X_{i}}){\xi ^{-{X_{{\tau _{-1}^{-}}}}}}{\mathbf{1}_{({\tau _{-1}^{-}}\lt {\tau _{a}^{+}})}}\right]& ={\widetilde{\mathcal{Z}}_{q}}(x,\xi )-\frac{{\mathcal{W}_{q}}\left(x\right)}{{\mathcal{W}_{q}}\left(a\right)}{\widetilde{\mathcal{Z}}_{q}}(a,\xi ),\end{aligned}\]
where ${\widetilde{\mathcal{Z}}_{q}}$ satisfies the recursion
\[ {\widetilde{\mathcal{Z}}_{q}}(x,\xi )={\sum \limits_{k=-1}^{x}}{p_{k+1}}q(x-k){\widetilde{\mathcal{Z}}_{q}}(x-k,\xi )+{\sum \limits_{k=x+1}^{\infty }}{p_{k+1}}{\xi ^{-(x-k)}}.\]
In particular, if we further let $\widetilde{q}(x)=v$ for all $x\ge 0$, then we note that $v\mathcal{B}(x,a)$ reduces to the joint transform of the time, and deficit, below 0 as seen in [1]. It is worth highlighting that this method is not possible in the classical setting of [1], where the authors must first determine the more complicated joint transform and can then recover the simpler two-sided exit identity as a special case.

3.3 Resolvents

In this subsection, we establish identities for resolvents of the q-killed upwards skip-free random walk, which can be used to determine the distribution of the level of a q-killed random walk prior to exiting a given interval. We point out that in [1], the resolvent measure is obtained based on Proposition 3.2 in [16], where a combinatorial approach is used whilst in [12] the law of running infima (known by Wiener–Hopf factorisation) is considered. In this paper, we employ first-step analysis to derive semi-explicit expressions for the q-killed resolvent measure, given in the following theorem.
Theorem 3 (Resolvent).
For $x,y\in [0,a]$, the resolvent of the q-killed process which is further killed on exiting $\{0,\dots a-1\}$ is given by
(22)
\[\begin{aligned}{}{\mathcal{U}_{q}}(x,y)& :={\sum \limits_{n=0}^{\infty }}{\mathbb{E}_{x}}\left[{\prod \limits_{i=1}^{n}}q({X_{i}}){\mathbf{1}_{({X_{n}}=y,\hspace{0.2778em}n\lt {\tau _{-1}^{-}}\wedge {\tau _{a}^{+}})}}\right]\\ {} & =q{(y+1)^{-1}}\left(\frac{{\mathcal{W}_{q}}\left(a,y+1\right){\mathcal{W}_{q}}\left(x\right)}{{\mathcal{W}_{q}}\left(a\right)}-{\mathcal{W}_{q}}\left(x,y+1\right)\right),\end{aligned}\]
where ${\mathcal{W}_{q}}\left(\cdot ,\cdot \right)$ is given in Eq. (12).
Proof.
Conditioning on the first period of time, we note that for $x\in [0,a-1]$, the resolvent measure ${\mathcal{U}_{q}}$ satisfies the recursive equation
(23)
\[\begin{aligned}{}{\mathcal{U}_{q}}(x,y)& ={\mathbf{1}_{(x=y)}}\end{aligned}\]
(24)
\[\begin{aligned}{}& \hspace{1em}+{\sum \limits_{k=0}^{x+1}}{p_{k}}q(x+1-k){\sum \limits_{n=1}^{\infty }}{\mathbb{E}_{x+1-k}}\left[{\prod \limits_{i=1}^{n-1}}q({X_{i}}){\mathbf{1}_{({X_{n-1}}=y,\hspace{0.2778em}n-1\lt {\tau _{-1}^{-}}\wedge {\tau _{a}^{+}})}}\right]\\ {} & ={\mathbf{1}_{(x=y)}}+{\sum \limits_{k=-1}^{x}}{p_{k+1}}q(x-k){\mathcal{U}_{q}}(x-k,y).\end{aligned}\]
On the other hand, from Eqs. (7) and (13), we note that for some constant ${c_{a}}$, it follows that
\[\begin{aligned}{}& {c_{a}}{\mathcal{W}_{q}}\left(x\right)-q{(y+1)^{-1}}{\mathcal{W}_{q}}\left(x,y+1\right)\\ {} & ={\mathbf{1}_{(x=y)}}+{\sum \limits_{k=-1}^{x}}{p_{k+1}}q(x-k)\big({c_{a}}{\mathcal{W}_{q}}\left(x-k\right)-q{(y+1)^{-1}}{\mathcal{W}_{q}}\left(x-k,y+1\right)\big),\end{aligned}\]
since ${\textstyle\sum _{k=x-y}^{x}}q(x-k){p_{k+1}}{\mathcal{W}_{q}}\left(x-k,y+1\right)=0$, and thus, satisfies the same recursive equation as ${\mathcal{U}_{q}}$. In particular, we have that
\[ {\mathcal{U}_{q}}(x,y)={c_{a}}{\mathcal{W}_{q}}\left(x\right)-q{(y+1)^{-1}}{\mathcal{W}_{q}}\left(x,y+1\right),\]
when
\[ {c_{a}}=\frac{q{(y+1)^{-1}}{\mathcal{W}_{q}}\left(a,y+1\right)}{{\mathcal{W}_{q}}\left(a\right)},\]
due to the boundary condition ${\mathcal{U}_{q}}(a,y)=0$, which completes the proof.  □
Similar to Corollary 1 and Corollary 3, the above result can be generalised to obtain the resolvent for q-killed upwards skip-free random walk in a general interval $[z,y]$ with $z\le y$ as shown in the following corollary.
Corollary 5.
For $x,y,z\in [0,a]$, it follows that
(25)
\[\begin{aligned}{}{\mathcal{U}_{q}}(x,y,z)& :={\sum \limits_{n=0}^{\infty }}{\mathbb{E}_{x}}\left[{\prod \limits_{i=1}^{n}}q({X_{i}}){\mathbf{1}_{({X_{n}}=y,\hspace{0.2778em}n\lt {\tau _{z-1}^{-}}\wedge {\tau _{a}^{+}})}}\right]\\ {} & =q{(y+1)^{-1}}\left(\frac{{\mathcal{W}_{q}}\left(a,y+1\right){\mathcal{W}_{q}}\left(x,z\right)}{{\mathcal{W}_{q}}\left(a,z\right)}-{\mathcal{W}_{q}}\left(x,y+1\right)\right),\end{aligned}\]
where ${\mathcal{W}_{q}}\left(\cdot ,\cdot \right)$ is given in Eq. (12).

3.4 Exit times for reflected processes

In this subsection, we derive exit identities for reflected q-killed upwards skip-free random walks. We should point out, as in the case of spectrally negative Lev´y process [see for example [17]], these identities can be derived by means of martingale properties of scale functions. However, in this paper, we will demonstrate how the ‘q-killing’ function can be used to develop a probabilistic argument in terms of the exit identities, given in Theorem 1 and Theorem 2. We point out that the random walk reflected from below has numerous applications in actuarial science, particularly in risk models with capital injections (see [3]).
Let us define the random walk reflected at zero upwards by
(26)
\[ {Y_{n}}={X_{n}}-{I_{n}},\]
where ${I_{n}}:={\inf _{0\le k\le n}}({X_{k}}\wedge 0)$. Thus, $({Y_{n}},{I_{n}})$ is a solution to a discrete version of the classical Skorokhod reflection problem. The first passage times for this reflected process is then denoted by
(27)
\[ {\widehat{\tau }_{a}^{\hspace{0.1667em}+}}=\inf \{n\ge 0:{Y_{n}}\ge a\}.\]
Theorem 4.
For $0\le x\le a$, we have
(28)
\[ \widehat{\mathcal{C}}(x,a):={\mathbb{E}_{x}}\left[{\prod \limits_{i=1}^{{\widehat{\tau }_{a}^{\hspace{0.1667em}+}}}}q({Y_{i}}){\mathbf{1}_{({\widehat{\tau }_{a}^{\hspace{0.1667em}+}}\lt \infty )}}\right]=\frac{{\mathcal{Z}_{q}}\left(x\right)}{{\mathcal{Z}_{q}}\left(a\right)},\]
where ${\mathcal{Z}_{q}}$ satisfies Eq. (8) with $q(x)\equiv q(0)$ for all $x\le 0$.
Proof.
For the reflected process, we have the following two scenarios: either the process exits from above before being reflected (at zero) or the process reflects from below (which is equivalent to the nonreflected process down-crossing zero) before reaching level $a\in \mathbb{N}$. As such, if we consider a specific q-killing function which takes general values $q(x)$ for $x\ge 0$, but constant and equal to $q(0)$ otherwise, i.e. $q(x)\equiv q(0)$ for all $x\lt 0$, it follows that
(29)
\[ \widehat{\mathcal{C}}(x,a)=\mathcal{A}(x,a)+\mathcal{B}(x,a)\widehat{\mathcal{C}}(0,a),\]
where $\mathcal{A}(\cdot ,a)$ and $\mathcal{B}(\cdot ,a)$ are understood to have the specific q-killing function defined above, and thus, it only remains to calculate the constant $\widehat{\mathcal{C}}(0,a)$. Substituting $x=0$ in Eq. (29) gives
\[ (1-\mathcal{B}(0,a))\widehat{\mathcal{C}}(0,a)=\mathcal{A}(0,a),\]
and thus, by using Eq. (9) and Eq. (15), we get that
\[\begin{aligned}{}\widehat{\mathcal{C}}(x,a)& =\mathcal{A}(x,a)+\mathcal{B}(x,a)\frac{\mathcal{A}(0,a)}{1-\mathcal{B}(0,a)}\\ {} & =\frac{{\mathcal{W}_{q}}\left(x\right)}{{\mathcal{W}_{q}}\left(a\right)}+\Big({\mathcal{Z}_{q}}\left(x\right)-\frac{{\mathcal{W}_{q}}\left(x\right)}{{\mathcal{W}_{q}}\left(a\right)}{\mathcal{Z}_{q}}\left(a\right)\Big)\times \left(\frac{{\mathcal{W}_{q}}\left(0\right)/{\mathcal{W}_{q}}\left(a\right)}{1-\Big(1-\frac{{\mathcal{W}_{q}}\left(0\right)}{{\mathcal{W}_{q}}\left(a\right)}{\mathcal{Z}_{q}}\left(a\right)\Big)}\right)\\ {} & =\frac{{\mathcal{W}_{q}}\left(x\right)}{{\mathcal{W}_{q}}\left(a\right)}+\left({\mathcal{Z}_{q}}\left(x\right)-\frac{{\mathcal{W}_{q}}\left(x\right)}{{\mathcal{W}_{q}}\left(a\right)}{\mathcal{Z}_{q}}\left(a\right)\right)\frac{1}{{\mathcal{Z}_{q}}\left(a\right)}=\frac{{\mathcal{Z}_{q}}\left(x\right)}{{\mathcal{Z}_{q}}\left(a\right)},\end{aligned}\]
with $q(x)\equiv q(0)$ for $x\le 0$.  □
Using arguments similar to Theorem 3, we can also derive the corresponding resolvent for this reflected random walk.
Theorem 5.
For $x,y\in [0,a]$, the resolvent of the q-killed upwards skip-free random walk reflected at zero upwards and killed on exiting $\{0,\dots ,a-1\}$ is given by
\[\begin{aligned}{}{\mathcal{L}_{q}}(x,y)& :={\sum \limits_{n=0}^{\infty }}{\mathbb{E}_{x}}\left[{\prod \limits_{i=1}^{n}}q({Y_{i}}){\mathbf{1}_{({Y_{n}}=y,\hspace{0.2778em}n\lt {\widehat{\tau }_{a}^{\hspace{0.1667em}+}})}}\right]\\ {} & =q{(y+1)^{-1}}\left(\frac{{\mathcal{Z}_{q}}\left(x\right)}{{\mathcal{Z}_{q}}\left(a\right)}{\mathcal{W}_{q}}\left(a,y+1\right)-{\mathcal{W}_{q}}\left(x,y+1\right)\right),\end{aligned}\]
where ${\mathcal{Z}_{q}}$ and ${\mathcal{W}_{q}}\left(\cdot ,\cdot \right)$ are defined in Eq. (8) and Eq. (12), respectively, with $q(x)\equiv q(0)$ for all $x\le 0$.
Proof.
Similarly to Theorem 3, conditioning on the first period of time and taking into account that the process is reflected at zero, we obtain the recursive equation
(30)
\[\begin{aligned}{}{\mathcal{L}_{q}}(x,y)& ={\mathbf{1}_{(x=y)}}+{\sum \limits_{k=-1}^{x}}{p_{k+1}}q(x-k){\mathcal{L}_{q}}(x-k,y)+q(0){\mathcal{L}_{q}}(0,y){\sum \limits_{k=x+1}^{\infty }}{p_{k+1}}.\end{aligned}\]
Moreover, since $q(x)\equiv q(0)$ for $x\le 0$, Eq. (8) becomes
\[ {\mathcal{Z}_{q}}\left(x\right)={\sum \limits_{k=-1}^{x}}{p_{k+1}}q(x-k){\mathcal{Z}_{q}}\left(x-k\right)+q(0){\sum \limits_{k=x+1}^{\infty }}{p_{k+1}},\]
which, along with Eq. (13), yields that for some constant ${c_{L}}$, we have
\[\begin{aligned}{}& {c_{L}}{\mathcal{Z}_{q}}\left(x\right)-q{(y+1)^{-1}}{\mathcal{W}_{q}}\left(x,y+1\right)\\ {} & ={\mathbf{1}_{(x=y)}}+{\sum \limits_{k=-1}^{x}}{p_{k+1}}q(x-k)\big[{c_{L}}{\mathcal{Z}_{q}}\left(x-k\right)-q{(y+1)^{-1}}{\mathcal{W}_{q}}\left(x-k,y+1\right)\big]\\ {} & \hspace{2em}+{c_{L}}q(0){\sum \limits_{k=x+1}^{\infty }}{p_{k+1}},\end{aligned}\]
since ${\textstyle\sum _{k=x-y}^{x}}q(x-k){p_{k+1}}{\mathcal{W}_{q}}(x\hspace{0.1667em}-\hspace{0.1667em}k,y+1)\hspace{0.1667em}=\hspace{0.1667em}0$. Hence, after noting that ${c_{L}}{\mathcal{Z}_{q}}(0)-q{(y+1)^{-1}}{\mathcal{W}_{q}}(0,y+1)={c_{L}}$, since ${\mathcal{Z}_{q}}\left(0\right)=1$ and ${\mathcal{W}_{q}}\left(0,y+1\right)=0$, for $y\in [0,a)$, the expression on the right-hand side of the above equation satisfies the same recursion as ${\mathcal{L}_{q}}$. Finally, using the fact ${\mathcal{L}_{q}}(a,y)=0$, we have that
\[ {\mathcal{L}_{q}}(x,y)={c_{L}}{\mathcal{Z}_{q}}\left(x\right)-q{(y+1)^{-1}}{\mathcal{W}_{q}}\left(x,y+1\right),\]
when
\[ {c_{L}}=\frac{q{(y+1)^{-1}}{\mathcal{W}_{q}}\left(a,y+1\right)}{{\mathcal{Z}_{q}}\left(a\right)},\]
which completes the proof.  □
Finally, to complete this section, let us define the q-killed process reflected at $a\in \mathbb{Z}$ downwards, for $a\gt 0$, by
\[ {\widetilde{Y}_{n}}={X_{n}}-{S_{n}},\]
with ${S_{n}}={\sup _{0\le k\le n}}\left({X_{k}}\vee a\right)-a$, and the corresponding first passage time as
\[ {\widetilde{\tau }_{-1}^{-}}=\inf \{n\ge 0:{\widetilde{Y}_{n}}\le -1\}.\]
Theorem 6.
For $x\ge 0$, we have
\[ {\mathbb{E}_{x}}\left[{\prod \limits_{i=1}^{{\widetilde{\tau }_{-1}^{-}}}}q({\widetilde{Y}_{i}}){\mathbf{1}_{({\widetilde{\tau }_{-1}^{-}}\lt \infty )}}\right]={\mathcal{Z}_{q}}\left(x\right)-{\mathcal{W}_{q}}\left(x\right){\Gamma _{q}}(a),\]
with
\[ {\Gamma _{q}}(a)=\frac{{\mathcal{Z}_{q}}\left(a+1\right)}{{\mathcal{W}_{q}}\left(a+1\right)}+\frac{1}{{\mathcal{W}_{q}}\left(a+1\right)-{\mathcal{W}_{q}}\left(a\right)}\left[\frac{{\mathcal{W}_{q}}(a){\mathcal{Z}_{q}}(a+1)}{{\mathcal{W}_{q}}(a+1)}-{\mathcal{Z}_{q}}(a)\right],\]
where ${\mathcal{W}_{q}}$ and ${\mathcal{Z}_{q}}$ are given in Eqs. (7) and (8), respectively, with $q(x)\equiv q(a)$ for all $x\ge a+1$.
Proof.
Using similar arguments as in Theorem 4, we consider a specific q-killing function of the form $q(x)$ for all $x\le a$ and $q(x)\equiv q(a)$ for all $x\ge a+1$. Moreover, we have the following two scenarios: either the process exits from below before reaching level $a+1$ or it exits from above (hits level $a+1$) and is reflected at the level a. Therefore, we have
\[ \widetilde{\mathcal{C}}(x,a)=\mathcal{B}(x,a+1)+\mathcal{A}(x,a+1)\widetilde{\mathcal{C}}(a,a),\]
from which by calculating the value of $\widetilde{\mathcal{C}}(a,a)$ in the same manner as in Theorem 4, we get the required result.  □
It is worth pointing out once again that, in a way similar to Proposition 2, the above results are more general than they appear. For example, if within the proof of Theorem 4 we redefine the specific q-killing function such that for some $\xi \in (0,1]$, we have $q(x)\equiv q(0){\xi ^{-x}}$ for all $x\lt 0$, we immediately obtain the generalised version of the transform of the so-called downwards regulator ${I_{n}}={\inf _{0\le k\le n}}({X_{k}}\wedge 0)$ at the time of exit, i.e.
\[ {\mathbb{E}_{x}}\left[{\prod \limits_{i=1}^{{\widehat{\tau }_{a}^{\hspace{0.1667em}+}}}}q({Y_{i}}){\xi ^{{I_{{\widehat{\tau }_{a}^{\hspace{0.1667em}+}}}}}}{\mathbf{1}_{({\widehat{\tau }_{a}^{\hspace{0.1667em}+}}\lt \infty )}}\right].\]
A similar idea can also be used to determine the corresponding generalised version of the transform for the upwards regulator, namely ${S_{n}}$, in Theorem 6. In fact, this quantity also contains the generalised joint transform
\[ {\mathbb{E}_{x}}\left[{\prod \limits_{i=1}^{{\widetilde{\tau }_{-1}^{\hspace{0.1667em}-}}}}q({Y_{i}}){\xi ^{{S_{{\widetilde{\tau }_{-1}^{\hspace{0.1667em}-}}}}}}{\theta ^{{Y_{{\widetilde{\tau }_{-1}^{-}}}}}}{\mathbf{1}_{({\widetilde{\tau }_{-1}^{\hspace{0.1667em}-}}\lt \infty )}}\right]\]
for some $\xi ,\theta \in (0,1]$.

3.5 The ${\mathcal{H}_{q}}$ scale function

In this subsection we introduce the third scale function, namely ${\mathcal{H}_{q}}$, which satisfies the recursive equation
(31)
\[ {\mathcal{H}_{q}}(x)={\sum \limits_{k=-1}^{\infty }}{p_{k+1}}q(x-k){\mathcal{H}_{q}}(x-k),\]
and plays a fundamental role in the one-sided upwards exit problem and the corresponding potential measure, which are given in the following theorem.
Proposition 3 (One-sided upwards exit).
For $x\le a$, it follows that
(32)
\[ {\mathbb{E}_{x}}\left[{\prod \limits_{n=1}^{{\tau _{a}^{+}}}}q({X_{n}}){\mathbf{1}_{({\tau _{a}^{+}}\lt \infty )}}\right]=\frac{{\mathcal{H}_{q}}(x)}{{\mathcal{H}_{q}}(a)},\]
where ${\mathcal{H}_{q}}$ satisfies Eq. (31). Moreover, for $x,y\le a$, the corresponding resolvent is given by
(33)
\[\begin{aligned}{}{\Xi _{q}}(x,y)& :={\sum \limits_{n=0}^{\infty }}{\mathbb{E}_{x}}\left[{\prod \limits_{i=1}^{n}}q({X_{i}}){\mathbf{1}_{({X_{n}}=y,\hspace{0.2778em}n\lt {\tau _{a}^{+}})}}\right]\\ {} & =q{(y+1)^{-1}}\left(\frac{{\mathcal{H}_{q}}(x)}{{\mathcal{H}_{q}}(a)}{\mathcal{W}_{q}}\left(a,y+1\right)-{\mathcal{W}_{q}}\left(x,y+1\right)\right).\end{aligned}\]
Proof.
The results are a direct consequence of Corollary 1 (with $y=a$) and Theorem 3, respectively, after taking the limits as $z\to -\infty $ and defining ${\mathcal{H}_{q}}(x):={\lim \nolimits_{z\to -\infty }}{\mathcal{W}_{q}}(x,z)$.  □
Unfortunately, due to the infinite summation in Eq. (31), it is not possible to compute ${\mathcal{H}_{q}}$ recursively in the general case, unlike for ${\mathcal{W}_{q}}$ and ${\mathcal{Z}_{q}}$. In the classical case, where $q(x)=v$ for all $x\in \mathbb{Z}$, so that the killing rate becomes independent of the level, the recursion reduces to
\[ {\mathcal{H}_{q}}(x)=v{\sum \limits_{k=-1}^{\infty }}{p_{k+1}}{\mathcal{H}_{q}}(x-k).\]
Then, assuming ${\mathcal{H}_{q}}$ takes the form ${\mathcal{H}_{q}}(x)={\phi _{v}^{-x}}$ for some constant value ${\phi _{v}}\in {\mathbb{R}^{+}}$, it is easy to see that ${\phi _{v}}$ is the solution to Lundberg’s equation (see [8])
\[ {\phi _{v}}=v\widetilde{p}({\phi _{v}}),\]
and we obtain the classical one-sided upwards exit result, i.e. ${\mathbb{E}_{x}}\left[{v^{{\tau _{a}^{+}}}}{\mathbf{1}_{({\tau _{a}^{+}}\lt \infty )}}\right]={\phi _{v}^{a-x}}$ (see [1] and references therein).
We have already seen in Proposition 2, and in discussions at the end of the previous section, how the generality of the ‘q-killing’ allows us to retrieve different quantities by appropriate choices of the killing function itself. We end this section by presenting another example of this property.
One solution to dealing with the infinite summation in Eq. (31) is to choose $q(\cdot )$ such that $q(x)=0$ for $x\lt z$, with $z\lt a$. In this case, each ${\mathcal{H}_{q}}(x)$ can be written as a factor of ${\mathcal{H}_{q}}(z)$, and thus, it is sufficient to determine Eq. (32). However, the reader may notice that this is equivalent to the two-sided upwards problem, i.e. ${\mathcal{H}_{q}}(x)={\mathcal{W}_{q}}(x,z)$. That is, in the q-killing model, it is possible to recover the two-sided exit problems (since similar arguments hold for the one- and two-sided downwards exits as well) from the corresponding one-sided problems. This is not possible in the classic case. In fact, with the above observation in mind, it is possible to think of the classical model as a model with a level dependent killing. That is, killing occurs with probability $1-v\in [0,1)$ between the barriers and probability one above or below the barrier depending on the exit problem itself. In the final section, we will consider an example of a specific q-killing function which corresponds to the so-called bankruptcy model within the risk theory literature.

4 Bankruptcy probability in ruin theory

It is well known that within actuarial science the surplus of an insurance company in discrete time can be modelled as an upwards skip-free random walk, often called the compound binomial risk model. Within the classical theory, the process stops when the event of ruin (first time the process becomes negative) occurs. As an extension to this, the so-called bankruptcy (omega) model allows the process to continue whilst negative (within some specified region) but to cease upon ‘bankruptcy’ (see [10], for the continuous time setting). Bankruptcy may occur in one of two ways: 1) whilst in the so-called ‘red zone’, i.e. $[-d,0)$, there is a level dependent bankruptcy probability at each period of time, or 2) if the surplus falls even further into deficit below the bankruptcy level $-d\lt 0$. Then, the bankruptcy probability, denoted $\psi (x)$, is defined as
\[\begin{aligned}{}\psi (x)& =1-{\mathbb{E}_{x}}\left[{\prod \limits_{n=1}^{\infty }}q({X_{n}}){\mathbf{1}_{({\tau _{-d-1}^{-}}=\infty )}}\right]\\ {} & =1-{a_{{\mathcal{W}^{-1}}(\infty ,-d)}}{\mathcal{W}_{q}}\left(x,-d\right),\end{aligned}\]
where ${a_{{\mathcal{W}^{-1}}(\infty ,-d)}}={\lim \nolimits_{a\to \infty }}{\mathcal{W}_{q}}{(a,-d)^{-1}}$.
To model the bankruptcy probability described above, we will choose a specific function $q(\cdot )$, for ${\gamma _{0}},{\gamma _{1}}\in (0,1]$, of the form
\[ q(x)=1-{\gamma _{0}}{\gamma _{1}^{(x+d)}}{\mathbf{1}_{\{x\in [-d,0)\}}},\]
which is a decreasing function of x and equal to one on the positive half line, so that bankruptcy cannot occur whilst the surplus is nonnegative. In this case, the recursive equation (12) becomes
\[\begin{aligned}{}{\mathcal{W}_{q}}(x,-d)& ={\sum \limits_{k=-1}^{x+d}}{p_{k+1}}{\mathcal{W}_{q}}(x-k,-d)\\ {} & \hspace{1em}-{\gamma _{0}}{\sum \limits_{k=-1}^{x+d}}{p_{k+1}}{\gamma _{1}^{x+d-k}}{\mathbf{1}_{\{x-k\in [-d,0)\}}}{\mathcal{W}_{q}}(x-k,-d).\end{aligned}\]
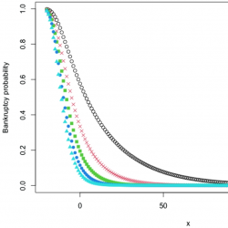
In order to demonstrate the behaviour of the scale function ${\mathcal{W}_{q}}(\cdot ,-d)$ and associated bankruptcy probability, let us consider a specific example with $d=10$, ${\gamma _{0}}=0.5$, ${\gamma _{1}}=0.7$. We will also assume that the jump size distribution, ${p_{k}}$, is geometrically distributed with varying success parameter. In order to keep in line with the risk theory literature, we will only consider success probabilities greater than 0.5 to ensure a positive asymptotic drift of the random walk (net profit condition), see, for example, [8] among others. For the bankruptcy probability, the limit ${a_{{\mathcal{W}^{-1}}(\infty ,-10)}}$ has been approximated using a ‘sufficiently large’ value of $a=150$. The justification for this value of a can be seen in Figure 1 as the point at which the scale function stabilises, i.e. approaches its limiting values for all values of $p\gt 0.5$.
vmsta257_g001.jpg
Fig. 1.
${\mathcal{W}_{q}}(x,-10)$ scale function
vmsta257_g002.jpg
Fig. 2.
Probability of bankruptcy

Acknowledgement

The authors would like to thank the anonymous reviewers for the insightful comments that improved the quality and the presentation of this paper.

References

[1] 
Avram, F., Vidmar, M.: First passage problems for upwards skip-free random walks via the scale functions paradigm. Adv. in Appl. Probab. 51(2), 408–424 (2019). MR3989520. https://doi.org/10.1017/apr.2019.17
[2] 
Banderier, C., Flajolet, P.: Basic analytic combinatorics of directed lattice paths. Theoret. Comput. Sci. 281(1–2), 37–80 (2002). MR1909568. https://doi.org/10.1016/S0304-3975(02)00007-5
[3] 
Bazyari, A.: On the ruin probabilities in a discrete time insurance risk process with capital injections and reinsurance. Sankhya A 85(2), 1623–1650 (2023). MR4619080. https://doi.org/10.1007/s13171-022-00305-3
[4] 
Brown, M., Peköz, E.A., Ross, S.M.: Some results for skip-free random walk. Probab. Engrg. Inform. Sci. 24(4), 491–507 (2010). MR2725345. https://doi.org/10.1017/S0269964810000136
[5] 
Cheng, S., Gerber, H.U., Shiu, E.S.: Discounted probabilities and ruin theory in the compound binomial model. Insurance Math. Econom. 26(2–3), 239–250 (2000). MR1787839. https://doi.org/10.1016/S0167-6687(99)00053-0
[6] 
Czarna, I., Kaszubowski, A., Li, S., Palmowski, Z.: Fluctuation identities for omega-killed spectrally negative Markov additive processes and dividend problem. Adv. in Appl. Probab. 52(2), 404–432 (2020). MR4123641. https://doi.org/10.1017/apr.2020.2
[7] 
Feller, W.: An Introduction to Probability Theory and Its Applications, vol. 1. John Wiley & Sons, (1971). MR0270403
[8] 
Gerber, H.U.: Mathematical fun with ruin theory. Insurance Math. Econom. 7(1), 15–23 (1988). MR0971860. https://doi.org/10.1016/0167-6687(88)90091-1
[9] 
Gerber, H.U., Shiu, E.S., Yang, H.: An elementary approach to discrete models of dividend strategies. Insurance Math. Econom. 46(1), 109–116 (2010). MR2586161. https://doi.org/10.1016/j.insmatheco.2009.09.010
[10] 
Gerber, H.U., Shiu, E.S., Yang, H.: The omega model: from bankruptcy to occupation times in the red. Eur. Actuar. J. 2(2), 259–272 (2012). MR3039553. https://doi.org/10.1007/s13385-012-0052-6
[11] 
Jacobsen, M.: Exit times for a class of random walks exact distribution results. J. Appl. Probab. 48(A), 51–63 (2011). MR2865616. https://doi.org/10.1239/jap/1318940455
[12] 
Kuznetsov, A., Kyprianou, A.E., Rivero, V.: The theory of scale functions for spectrally negative Lévy processes. Lévy Matters II, 97–186 (2012). MR3014147. https://doi.org/10.1007/978-3-642-31407-0_2
[13] 
Kyprianou, A.E.: Fluctuations of Lévy Processes with Applications: Introductory Lectures. Springer, Berlin (2014). MR3155252. https://doi.org/10.1007/978-3-642-37632-0
[14] 
Kyprianou, A.E., Palmowski, Z.: A martingale review of some fluctuation theory for spectrally negative Lévy processes. In: Séminaire de Probabilités XXXVIII, pp. 16–29. Springer, (2005). MR2126964. https://doi.org/10.1007/978-3-540-31449-3_3
[15] 
Li, B., Palmowski, Z.: Fluctuations of omega-killed spectrally negative Lévy processes. Stochastic Process. Appl. 128(10), 3273–3299 (2018). MR3849809. https://doi.org/10.1016/j.spa.2017.10.018
[16] 
Marchal, P.: A combinatorial approach to the two-sided exit problem for left-continuous random walks. Combin. Probab. Comput. 10(3), 251–266 (2001). MR1841644. https://doi.org/10.1017/S0963548301004655
[17] 
Pistorius, M.R.: A potential-theoretical review of some exit problems of spectrally negative Lévy processes. Sémin. Probab. XXXVIII, 30–41 (2005). MR2126965. https://doi.org/10.1007/978-3-540-31449-3_4
[18] 
Willmot, G.E.: Ruin probabilities in the compound binomial model. Insurance Math. Econom. 12(2), 133–142 (1993). MR1229212. https://doi.org/10.1016/0167-6687(93)90823-8
Reading mode PDF XML

Table of contents
  • 1 Introduction
  • 2 Preliminaries
  • 3 Main results
  • 4 Bankruptcy probability in ruin theory
  • Acknowledgement
  • References

Copyright
© 2024 The Author(s). Published by VTeX
by logo by logo
Open access article under the CC BY license.

Keywords
Fluctuation theory in discrete time exit problems upwards skip-free killed random walks potential measures one-step analysis probability of bankruptcy

MSC2010
60G50 91B30

Funding
Meral Şimşek is grateful for the financial support by the Scientific and Technological Research Council of Turkey (TÜBİTAK) through the BIDEB-2214/A International Doctoral Research Fellowship Programme.

Metrics
since March 2018
1683

Article info
views

574

Full article
views

561

PDF
downloads

161

XML
downloads

Export citation

Copy and paste formatted citation
Placeholder

Download citation in file


Share


RSS

  • Figures
    2
  • Theorems
    6
vmsta257_g001.jpg
Fig. 1.
${\mathcal{W}_{q}}(x,-10)$ scale function
vmsta257_g002.jpg
Fig. 2.
Probability of bankruptcy
Theorem 1 (Two-sided exit upwards).
Theorem 2 (Two-sided exit downwards).
Theorem 3 (Resolvent).
Theorem 4.
Theorem 5.
Theorem 6.
vmsta257_g001.jpg
Fig. 1.
${\mathcal{W}_{q}}(x,-10)$ scale function
vmsta257_g002.jpg
Fig. 2.
Probability of bankruptcy
Theorem 1 (Two-sided exit upwards).
For $x\in \mathbb{Z}$, there exists a discrete function ${\mathcal{W}_{q}}:\mathbb{Z}\to {\mathbb{R}^{+}}$ such that for all $x\le a\in {\mathbb{N}_{0}}$ we have that
(9)
\[ \mathcal{A}(x,a):={\mathbb{E}_{x}}\left[{\prod \limits_{n=1}^{{\tau _{a}^{+}}}}q({X_{n}}){\mathbf{1}_{({\tau _{a}^{+}}\lt {\tau _{-1}^{-}})}}\right]=\frac{{\mathcal{W}_{q}}\left(x\right)}{{\mathcal{W}_{q}}\left(a\right)},\]
where ${\mathcal{W}_{q}}$ satisfies the recursion equation (7).
Theorem 2 (Two-sided exit downwards).
For $x\in \mathbb{Z}$ such that $x\le a$, we have
(15)
\[ \mathcal{B}(x,a):={\mathbb{E}_{x}}\left[{\prod \limits_{n=1}^{{\tau _{-1}^{-}}}}q({X_{n}}){\mathbf{1}_{({\tau _{-1}^{-}}\lt {\tau _{a}^{+}})}}\right]={\mathcal{Z}_{q}}\left(x\right)-\frac{{\mathcal{W}_{q}}\left(x\right)}{{\mathcal{W}_{q}}\left(a\right)}{\mathcal{Z}_{q}}\left(a\right),\]
where ${\mathcal{W}_{q}}\left(x\right)$ and ${\mathcal{Z}_{q}}\left(x\right)$ satisfy Eqs. (7) and (8), respectively.
Theorem 3 (Resolvent).
For $x,y\in [0,a]$, the resolvent of the q-killed process which is further killed on exiting $\{0,\dots a-1\}$ is given by
(22)
\[\begin{aligned}{}{\mathcal{U}_{q}}(x,y)& :={\sum \limits_{n=0}^{\infty }}{\mathbb{E}_{x}}\left[{\prod \limits_{i=1}^{n}}q({X_{i}}){\mathbf{1}_{({X_{n}}=y,\hspace{0.2778em}n\lt {\tau _{-1}^{-}}\wedge {\tau _{a}^{+}})}}\right]\\ {} & =q{(y+1)^{-1}}\left(\frac{{\mathcal{W}_{q}}\left(a,y+1\right){\mathcal{W}_{q}}\left(x\right)}{{\mathcal{W}_{q}}\left(a\right)}-{\mathcal{W}_{q}}\left(x,y+1\right)\right),\end{aligned}\]
where ${\mathcal{W}_{q}}\left(\cdot ,\cdot \right)$ is given in Eq. (12).
Theorem 4.
For $0\le x\le a$, we have
(28)
\[ \widehat{\mathcal{C}}(x,a):={\mathbb{E}_{x}}\left[{\prod \limits_{i=1}^{{\widehat{\tau }_{a}^{\hspace{0.1667em}+}}}}q({Y_{i}}){\mathbf{1}_{({\widehat{\tau }_{a}^{\hspace{0.1667em}+}}\lt \infty )}}\right]=\frac{{\mathcal{Z}_{q}}\left(x\right)}{{\mathcal{Z}_{q}}\left(a\right)},\]
where ${\mathcal{Z}_{q}}$ satisfies Eq. (8) with $q(x)\equiv q(0)$ for all $x\le 0$.
Theorem 5.
For $x,y\in [0,a]$, the resolvent of the q-killed upwards skip-free random walk reflected at zero upwards and killed on exiting $\{0,\dots ,a-1\}$ is given by
\[\begin{aligned}{}{\mathcal{L}_{q}}(x,y)& :={\sum \limits_{n=0}^{\infty }}{\mathbb{E}_{x}}\left[{\prod \limits_{i=1}^{n}}q({Y_{i}}){\mathbf{1}_{({Y_{n}}=y,\hspace{0.2778em}n\lt {\widehat{\tau }_{a}^{\hspace{0.1667em}+}})}}\right]\\ {} & =q{(y+1)^{-1}}\left(\frac{{\mathcal{Z}_{q}}\left(x\right)}{{\mathcal{Z}_{q}}\left(a\right)}{\mathcal{W}_{q}}\left(a,y+1\right)-{\mathcal{W}_{q}}\left(x,y+1\right)\right),\end{aligned}\]
where ${\mathcal{Z}_{q}}$ and ${\mathcal{W}_{q}}\left(\cdot ,\cdot \right)$ are defined in Eq. (8) and Eq. (12), respectively, with $q(x)\equiv q(0)$ for all $x\le 0$.
Theorem 6.
For $x\ge 0$, we have
\[ {\mathbb{E}_{x}}\left[{\prod \limits_{i=1}^{{\widetilde{\tau }_{-1}^{-}}}}q({\widetilde{Y}_{i}}){\mathbf{1}_{({\widetilde{\tau }_{-1}^{-}}\lt \infty )}}\right]={\mathcal{Z}_{q}}\left(x\right)-{\mathcal{W}_{q}}\left(x\right){\Gamma _{q}}(a),\]
with
\[ {\Gamma _{q}}(a)=\frac{{\mathcal{Z}_{q}}\left(a+1\right)}{{\mathcal{W}_{q}}\left(a+1\right)}+\frac{1}{{\mathcal{W}_{q}}\left(a+1\right)-{\mathcal{W}_{q}}\left(a\right)}\left[\frac{{\mathcal{W}_{q}}(a){\mathcal{Z}_{q}}(a+1)}{{\mathcal{W}_{q}}(a+1)}-{\mathcal{Z}_{q}}(a)\right],\]
where ${\mathcal{W}_{q}}$ and ${\mathcal{Z}_{q}}$ are given in Eqs. (7) and (8), respectively, with $q(x)\equiv q(a)$ for all $x\ge a+1$.

MSTA

Journal

  • Online ISSN: 2351-6054
  • Print ISSN: 2351-6046
  • Copyright © 2018 VTeX

About

  • About journal
  • Indexed in
  • Editors-in-Chief

For contributors

  • Submit
  • OA Policy
  • Become a Peer-reviewer

Contact us

  • ejournals-vmsta@vtex.lt
  • Mokslininkų 2A
  • LT-08412 Vilnius
  • Lithuania
Powered by PubliMill  •  Privacy policy